00:00:00
第 10 套在线题目
选择题
第题 :
关于数据可视化,下列描述不正确的是( )。
第题 :
某公司想用计算机管理上千名员工的档案信息,以下软件中最合适的是( )。
第题 :
某款酒店送物机器人,能够实现自主规划路线,自动避障,到达指定地点,实现送物送餐。关于该款机器人,下列说法错误的是( )。

第题 :
学校给各年级组办公室配置了网络打印机,各办公室老师通过网络直接使用打印机,这是利用局域网实现了( )共享。
第题 :
下列关于数制的说法,正确的是( )。
第题 :
下列关于计算机病毒防治的做法错误的是( )。
第题 :
在Python语言中,运算符优先级从高到低,排列正确的是( )。
第题 :
在WPS表格中,包含多个工作表的文件称为( )。
第题 :
共享单车调度中心能够实时监控各站点的租还状态,并实现站点之间的车辆调度。这里未使用( )。
第题 :
在网络交流中,一些行为虽然不违反法律,却不符合网络交流规范,以下符合网络文明交流行为的是( )。
第题 :
下列选项中,文件的存储容量最大的是( )。
第题 :
关于信息社会,以下说法错误的是( )。
第题 :
某人未经作者授权将其已发表的小说开发成网络游戏,这种做法违反了( )。
第题 :
在购买火车票时,儿童票以年龄划分优惠标准。用算法描述儿童购票问题,合适的算法控制结构是( )。
第题 :
信息社会,人们习惯使用餐馆提供的在线点餐系统进行下单、结账。该类系统属于( )。
第题 :
天气预报:'郑州,小雨,26°C~34°C。'该描述属于( )。
第题 :
用计算机编程绘制余弦函数图像时,对程序执行的结果进行检查验证,属于计算机解决问题过程中的( )。
第题 :
我国船舶上安装北斗导航系统后,提高了定位精度,但专家指出用指南针定位的传统方法,仍是船员必须靠握的基本技能。下列说法错误的是( )。
第题 :
关于伪代码,以下说法正确的是( )。
第题 :
饲养宠物可以有效缓解疲劳,放松心情,某智能宠物喂食器功能如下:①通过手机APP远程控制喂食器定时定量喂食;②智能宠物喂食器通过学习大量的图片,判断某食物是否适合喂食;③实时视频传输,可以随观看宠物的一举一动;④能够识别宠物的状态,异常情况报警提示。以下选项中都运用了机器学习原理的是( )。
判断题
第题 :
已知字符'A'的ASCII码值为十进制数65,字符'D'的ASCII码值为十六进制数44。(正确/错误)
第题 :
在Python语言中,表达式5*8%3+6的值是16。(正确/错误)
第题 :
在物流系统应用中,工作人员用机器进行入库扫描、出库扫描时,'扫码'的过程实现了该信息系统的输入功能。(正确/错误)
第题 :
传感器是一种检测装置,能感知到被测量的信息,并能将感知到的信息按照一定规律转换为电信号或其他所需形式,以满足信息的传输、处理、存储、显示、记录和控制等要求。(正确/错误)
第题 :
在WPS表格中,对数据分类汇总操作的时候,不用管分类字段是否有序,可以直接进行操作。(正确/错误)
综合分析题
计算机网络
计算机网络是利用通信设备和线路,将多台计算机或移动终端相互连接,以实现网络中资源共享和信息传递的系统。下图即为某学校机房组建的一个小型计算机网络,结合图示回答问题:

第题 :
图中设备A为路由器,设备B应该为[ 第1空 ]。(选填:交换机/调制解调器)
第题 :
对于小型局域网来说,通常路由器就是网关,路由器地址即是网关地址。(正确/错误)
第题 :
某同学上课时发现可以使用QQ,但使用浏览器输入网址却打不开网页,可能的原因是( )配置不正确。
第题 :
该机房组建的网络属于( )。
第题 :
假如学生机1的IP是192.168.1.34,子网掩码为:255.255.255.0,网关是192.168.1.254,学生机2的IP不可以的是( )。
机场物联网系统
乘坐飞机出行是现代交通的出行方式之一。机场通过运用物联网、大数据分析和人工智能等技术,实现机场运营管理、服务保障和安全防范的智能化、自动化和信息化,具有高效、安全、舒适、环保等特点。在现代机场的运营体系中,物联网起到了关键作用,通过采用物联网技术的智能化设备和系统,机场能够更加高效地处理各种信息,提高航班准点率,改善旅客体验,同时也能加强机场的安全性能。图中为某机场物联网系统整体架构,结合图示回答以下问题:

第题 :
根据智慧机场的前期需求分析和物联网建设的目标,为物联网系统设计功能模块结构图,属于系统开发过程中的[ 第1空 ]。(选填:总体设计/详细设计)
第题 :
机场物联网系统有多个子系统,每个子系统完成某个具体的业务功能。子系统实现的功能相对独立和具体,所以其不必全部具备输入、存储、处理、输出和控制等信息处理功能。(正确/错误)
第题 :
按照图中的物联网架构,用于显示航班信息的设备位于架构中的( )。
第题 :
智慧物流也是机场物联网系统的重要应用,工作人员到达某个货物提取点,操作手持终端设备,通过感应贴在货物包装上的电子标签识别对应的货物信息。该过程运用到的物联网通信技术是( )。
第题 :
信息系统各环节都可能存在安全风险,如图中的机场物联网系统,在没有风险防范措施的情况下,任何一台硬件、一个软件、一条网络线路、一个数据出现问题,就会导致系统面临风险。以下应对风险措施中合理的是( )。
北京市人口密度统计
北京市是常住人口和暂住人口密度较高的城市之一,人口密度是城市发展规划的重要参考依据。
- 请你打开文件夹中的“北京市人口密度调查表.x1sx”文件,完成以下操作。
- 使用公式计算人口密度(=(常住人口+暂住人口)*10000/土地面积),保存在 E3:E20 对应单元格中。结果不保留小数位。
- 使用 RANK()函数,计算“人口密度”按降序排列的大小排名,结果保存在单元格区域 F3:F20 相应单元格中。
- 筛选出“常住人口(万人)”数值最大的前 10 项。
- 选中筛选结果的前 4 列中所有数据(含标题行),复制到 Sheet2 工作表中相同位置(数据表左上角定位在 Sheet2 工作表的 A2 单元格)。
- 以“地区”、“常住人口(万人)”、“暂住人口(万人)”和“暂住人口/常住人口比例关系”四列数据为数据源,选择组合图一类型 2,生成如下图所示的组合图,标题为“北京市人口密度统计图”,将“图表元素”中“数据标签”设置为选中。

- 保存并关闭 WPS。
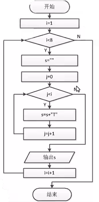
循环输出字母三角形
请使用 for 循环,输出由 7 行字母 T 构成的直角三角形,如下所示:

T TT TTT TTTT TTTTT TTTTTT TTTTTTT